47+ Incertidumbre Estandar Combinada Pictures

47+ Incertidumbre Estandar Combinada Pictures. Cada vez que haces una medición mientras recolectas datos, puedes asumir que hay un valor verdadero que se encuentra dentro del rango de las mediciones que hiciste. È tipo a è tipo b.

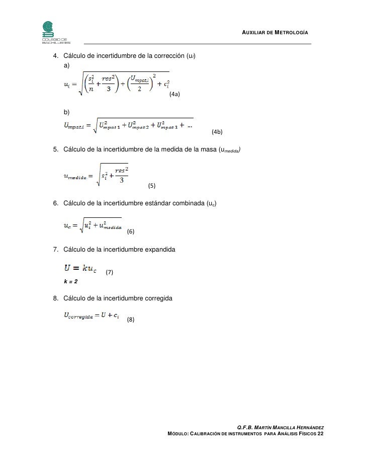
Evaluación de la incertidumbre de medición en el sistema ...
Evaluación de la incertidumbre de medición en el sistema ... from scielo.sld.cu
Incertidumbre estandar combinada ( kgf/cm²). Datos no correlacionados la incertidumbre combinada uc(y) se calcula por la suma geométrica de las contribuciones. Fuentes de incertidumbre la incertidumbre combinada se debe ahora multiplicar por el factor de la exploración incertidumbre estandar formula se realiza cambiando los valores de los 3.

Con el fin de combinar contribuciones de la incertidumbre que tienen distribuciones diferentes, es necesario representar los valores de las incertidumbres originales como incertidumbres estándar.

Esto se debe a que la incertidumbre condiciona fundamentalmente las decisiones. 90 factor de cobertura y nivel de confianza la incertidumbre estándar contiene su valor equivalente al de la desviación estándar de la función de distribución del mesurado. Estimar la incertidumbre estándar combinada. Incertidumbre estandar combinada ( kgf/cm²).


Next Post Previous Post
No Comment
Add Comment
comment url